
Achtergrond
Samsung's OLED TV comeback: wat je erover moet weten
van Luca Fontana

Vorig jaar maakte Samsung een revolutionaire OLED comeback - en overtrof LG, de OLED topdog, glansrijk. Dit jaar is de revolutionaire QD-OLED van het bedrijf naar verluidt nog beter geworden. Dus wie wordt de winnaar van de nieuwste tv-strijd?
Ik heb zoveel artikelen over QD-OLED geschreven dat zelfs ik soms vergeet dat het geen technologie is die al lang bestaat, maar een die pas een jaar geleden zijn marktdebuut maakte. En het was niet zomaar een introductie. Ondanks een paar probleempjes, was de Samsung S95B maakte zoveel indruk op me dat ik hem zelfs tv van het jaar 2022 noemde in mijn eindejaarsoverzicht.
De reden hierachter waren de consistente inspanningen van Samsung om OLED-technologie te ontwikkelen - iets wat LG eerder tot een doorgewinterde speler op de tv-markt had gemaakt. Onthoud dat QD-OLED een beeldschermtechnologie is die de voordelen van QLED en OLED combineert. Dit betekent:
Als je je hier helemaal in wilt verdiepen, dan heb ik precies wat je zoekt:
Samsung is erop gebrand om zijn nieuwe technologie met de S95C verder te ontwikkelen. Het kan immers onmogelijk op zijn lauweren rusten. LG maakte dit jaar een zeer succesvolle comeback met de G3, ondanks het gebruik van "verouderde" OLED technologie. In mijn review van een paar weken geleden, heb ik euforisch uitgelegd hoe ze dat voor elkaar hebben gekregen. Maar Samsung (en dat durf ik je nu al te zeggen) heeft een indrukwekkende tegenaanval gedaan.
Laat het duel beginnen.



Full disclosure: de tv, een 65-inch versie van de S95C, kreeg ik van Samsung om te testen.
Met de S95C heeft Samsung het begrip "laser-slank" ingeruild voor een nieuw kenmerkend ontwerp: Infinity One. Het scherm is echt iets dikker dan voorheen - ik meet 0,9 centimeter. Verder naar beneden op het paneel, waar hardwarecomponenten zoals de processor en het moederbord zijn geïnstalleerd, is er echter geen verschil in dikte. Bij de voorganger van de TV was dit gebied maar liefst drie centimeter dik. Hierdoor is het heel eenvoudig om de S95C aan de muur te hangen. Je moet echter wel apart een 400×300 mm VESA steun kopen. Die kun je bij ons krijgen hier.

Dit terzijde, Samsung is trouw gebleven aan zichzelf wat betreft het ontwerp: modern, slank, smalle randen, geen franje. De TV wordt bij elkaar gehouden door een elegant, aluminium frame aan de voorkant en een zwarte plastic hoes aan de achterkant. Dan is er nog de gebogen, flinterdunne voet. Hoewel hij nauwelijks opvalt, is hij maar liefst 27 centimeter diep. Afhankelijk van het tv-meubel dat je hebt, kan het lastig zijn om een soundbar voor de tv te krijgen.
Vergeleken met LG laat Samsung iets meer ruimte tussen de onderrand van het paneel en het tv-meubel: 6,5 centimeter. Dat zou genoeg moeten zijn voor de meeste soundbars. Als de infraroodsensor voor de afstandsbediening wordt afgedekt, wordt het een beetje lastig om de tv aan en uit te zetten.
De OneConnect box die kenmerkend is voor de topmodellen van Samsung heeft eindelijk een comeback gemaakt. Dit is het kleine kastje dat de aansluitingen vervangt die gewoonlijk in het paneel zijn ingebouwd. Er is slechts een enkele, vrij onopvallende kabel die de OneConnect box met de TV verbindt. Naast het verzenden van video- en audiosignalen, voorziet het het scherm ook van stroom. Dit geeft je de mogelijkheid om niet alleen de box elegant te laten verdwijnen, maar ook alle kabelwarboel die je normaal gesproken in een la voor de tv hebt liggen. Opvallend afwezig op het vorige model, heeft het een comeback gemaakt op de S95C. Ik ben er blij mee.

Laten we verder gaan met de aansluitingen. Deze omvatten:
Alle vier HDMI-ingangen ondersteunen HLG, HDR10 en HDR10+. Maar nog steeds geen Dolby Vision. Helaas. Het is ook niet waarschijnlijk dat dit in de toekomst zal veranderen. In een interview net dit jaar vertelde Nathan Sheffield, hoofd TV en Audio Europa van Samsung, me: "Ik weet niet zeker wat Dolby Vision voor Samsung zou doen dat we toch al niet kunnen."
De S95C kan wel Dolby Atmos aan, inclusief passthrough, als je het geluid naar een externe geluidsinstallatie routeert. DTS audioformaten worden daarentegen niet ondersteund door de ingebouwde luidsprekers en worden ook niet doorgegeven door de tv. In plaats daarvan worden ze afgespeeld en doorgegeven als een lagere kwaliteit meerkanaals PCM 5.1 audio.
Ik sta op het punt om diep in de materie te duiken. Als je niet van grafieken en diagrammen houdt, sla dit dan allemaal over en scroll meteen door naar het gedeelte met de titel "Het beeld: OLED-waardig referentiemateriaal - zelfs head-to-head met LG". Vanaf dat punt krijg je mijn subjectieve indrukken en behoorlijk wat videomateriaal.
Ik heb alle schermstanden van de tv gemeten met professional tools van Portrait Displays. Ik heb de modi Standaard, Film en Filmmaker doorlopen zonder te kalibreren of de instellingen handmatig te wijzigen. Eigenlijk op de manier waarop de meeste gewone stervelingen een televisie zouden gebruiken. Je wilt immers weten of een tv nauwkeurig en kleurgetrouw is, zelfs zonder dure, professionele kalibratie. De enige verandering die ik aanbracht was het instellen van de maximale helderheid op hoog in alle beeldmodi.
De beste waarden voor alle soorten inhoud werden bereikt in de HDR Filmmaker modus - behalve voor gaming, in welk geval je altijd de Game modus moet selecteren. Met dit in gedachten hebben alle onderstaande metingen betrekking op de HDR Filmmaker-modus.
Nu de helderheidsmeting. Hier wordt het duel interessant. In tegenstelling tot LG maakt Samsung voor zijn OLED-pixels gebruik van nanodeeltjes die bekend staan als kwantumstippen. Daar komt de "QD" in QD-OLED vandaan. Simpel gezegd zorgen ze ervoor dat de miljoenen pixels in het beeldscherm kleur produceren zonder dat ze te maken krijgen met helderheidsverlies. Ik heb de fysica hierachter al uitgelegd in een eerder artikel.
Een ander voordeel van kwantumdots? Ze kunnen een beeld produceren van minstens gelijke helderheid, met nog intensere kleuren, met minder energie dan LG's conventionele OLED technologie. In theorie dan. Niet alleen dat, maar ook het risico op inbranden is kleiner.
Dus, laten we een helderheidstest doen om te zien hoe het paneel het in de praktijk doet. De grafiek toont een directe vergelijking tussen de S95C, Sony's 2022 A95K (ook uitgerust met een QD-OLED paneel van Samsung) en het vlaggenschip van LG van dit jaar, de G3.
Er zijn twee assen: de verticale as geeft de helderheid weer, terwijl de horizontale as de sectie weergeeft waar de helderheid is gemeten. Op twee procent van het totale scherm, d.w.z. in geselecteerde, zeer kleine beeldsecties, bereikt de S95C van Samsung een totaal van 1.275 nits in de Filmmaker-modus. Naar OLED maatstaven is dat uitzonderlijk. Bij metingen met de TV in de Dynamische modus (de helderste, maar slechtst gekalibreerde modus) krijg ik zelfs een waarde van 1.330 nits.
Een jaar geleden zouden cijfers als deze me nog van mijn sokken hebben geblazen. Maar nu niet meer. Niet nu de G3 van LG ondanks zijn "verouderde" technologie een nog helderdere TV is - tenminste op bepaalde plekken, in kleine beeldgedeelten. LG's Vivid modus bracht het zelfs tot meer dan 1.800 nits. Te gek! Qua algehele helderheid komen beide tv's echter uit op ongeveer 230-250 nits.
Wat vertellen deze metingen ons? Nou, op bepaalde punten (denk aan de maan die in de nachtelijke hemel schijnt of een vurige explosie in een actiefilm) is de LG G3 aanzienlijk levendiger dan de Samsung S95C. Een ander gebied waarop de LG G3 een streepje voor heeft is het contrast, oftewel het maximale verschil tussen de helderste en donkerste pixel. Als we kijken naar de totale helderheidsmetingen, zien we dat Samsung en LG nek aan nek liggen. Als je beide tv's naast elkaar zou zetten, zou je waarschijnlijk niet zo veel verschil in helderheid merken.

Waarom is de tv van LG dan nog steeds iets helderder, terwijl we net hebben vastgesteld dat QD-OLED tv's levendiger moeten zijn? Welnu. Dat is de miljoen dollar vraag. LG heeft hier de hele industrie verrast. Zijn geheim? Een nieuwe laag toevoegen aan het paneel: een Micro Lens Array (MLA). In een MLA zorgen bolle microlenzen ervoor dat het gegenereerde licht wordt gefocust en versterkt. LG zegt zelfs dat er 5000 lenzen per pixel zijn. De S95C van Samsung is echt beter dan zijn voorganger, de S95B. Toch heeft LG dankzij de extra microlenzen gezegevierd in de strijd om helderheid. Tenminste dit jaar.
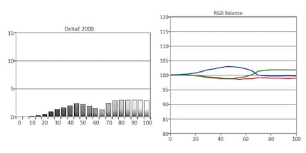
Laten we eens kijken naar de witbalans. Je krijgt wit op een tv als de rode, groene en blauwe subpixels van elke pixel gelijktijdig en met gelijke intensiteit uitstralen. Met andere woorden, volle helderheid genereert het helderste wit. De laagste helderheid daarentegen creëert het diepste zwart. Als de subpixels volledig kunnen worden uitgeschakeld, zoals het geval is bij OLED of QD-OLED, wordt dit true black genoemd. Alles daartussen is dus niets meer dan grijstinten.
Om de nauwkeurigheid van de witbalans te meten, heb ik twee tabellen nodig:
De grijswaarde dE geeft aan hoeveel de grijswaarde die de TV genereert afwijkt van de referentiewaarde. De RGB-balans geeft aan in welke richting de grijstinten die de tv genereert afwijken van de referentiewaarde. Waarom is dit belangrijk? Laten we de S95C als specifiek voorbeeld nemen:

Als je de tv direct naast een referentiemonitor zou zetten, zou dat betekenen:
Elk cijfer lager dan vijf is heel goed voor een niet-gekalibreerde tv. Bovendien is de S95C van Samsung erin geslaagd wat geen enkele tv die ik ooit heb getest eerder is gelukt: de foutafwijking consequent onder de vijf houden, d.w.z. bij elke helderheid. Zelfs de LG G3 kon dit niet kraken. In mijn review noteerde hij een zeer goed gemiddeld dE-cijfer van 3,19, maar overschreed de belangrijke drempel van vijf in helderdere beeldgedeelten.
Samsung's S95C daarentegen is in dit opzicht vrijwel onberispelijk. Als ik kieskeurig zou zijn, zou ik erop wijzen dat het beeld een lichtblauwe tint heeft in donkere gebieden, maar een groenige tint in lichtere gebieden. Je kunt dit zien in de RGB-balansgrafiek direct hierboven. Toch zul je het nauwelijks opmerken. De "fout" blijft altijd onder de vijf. Gemiddeld is het slechts 1,77 dE - een ongelooflijk getal. Met het blote oog bekeken zouden de meeste mensen de witbalans als vrijwel perfect omschrijven - en dat is direct uit de doos, zonder kalibratie. Dat is in ieder geval in de Filmmaker modus.
Tijd om het kleurengamma te meten, oftewel de dekking van de meest voorkomende kleurruimten. Dit zijn:

De grote kleurvlakte, inclusief de donkere gebieden, toont het volledige kleurenbereik dat door het menselijk oog kan worden waargenomen. Het verlichte gebied aan de linkerkant toont de BT.2020 kleurruimte. Rechts zie je hetzelfde, maar dan in de kleinere DCI-P3 kleurruimte. De witte vakjes tonen de werkelijke grenzen van de respectieve kleurruimten. De zwarte cirkels geven daarentegen de grenzen weer die tijdens de meting zijn vastgesteld.
De meting liet de volgende kleurruimtedekking zien:
De S95C bereikt een uitstekende dekking van 99,49 procent in de belangrijke DCI-P3 kleurruimte. Elke OLED TV doet het echter goed in dit aspect - LG's G3 haalde 98,67 procent.
Nu de BT.2020 kleurruimte. De S95C van Samsung dekt deze zeer goed met 90,89 procent - en dat is geen vanzelfsprekendheid. Zelfs de G3 van LG met zijn WOLED-technologie haalt "slechts" 74,12%. Dit toont de toekomstbestendigheid van QD-OLED technologie aan. Hoewel de film- en tv-industrie hun HDR content bijna uitsluitend kalibreren in de veel breder gebruikte DCI-P3 kleurruimte, wordt de BT.2020 kleurruimte beschouwd als de kleurruimte van de toekomst. Op dit moment lijkt QD-OLED de enige technologie te zijn die hierop is voorbereid.
Tijd voor een nadere beschouwing van de kleurfout. Deze beschrijft hoe nauwkeurig kleuren worden weergegeven. Net als hierboven noem ik de afwijking tussen de TV en de referentiewaarde dE. De witte vakjes geven de referentiekleuren aan die de testpatroongenerator naar de tv stuurt. De zwarte cirkels stellen de werkelijk gemeten kleuren voor. In het ideale geval staan de cirkels binnen de vakjes. Hoe verder ze naar buiten staan, hoe groter de afwijking van de referentiewaarde, d.w.z. de dE waarde. Nogmaals, dE-waarden onder 5 zijn goed voor niet-gekalibreerde tv's.

Deze metingen zijn prachtig - en niet verrassend. Niet na het peilen van de bijna perfect gekalibreerde witbalans van de tv. Immers, hoe nauwkeuriger de witbalans, hoe nauwkeuriger de kleuren die eruit komen. Laten we eens naar de cijfers kijken. De S95C van Samsung heeft een gemiddelde dE van slechts 1,33 in de Filmmaker modus. Dat is een duidelijke verbetering ten opzichte van zijn voorganger, de S95B, die ik vorig jaar [testte] (/page/qd-oled-samsungs-fernseher-der-zukunft-ist-fantastisch-24425). En het is zelfs beter dan de 1,97 dE van de LG G3, die me versteld deed staan toen ik hem onlangs beoordeelde.
Je kunt reflecties op je scherm niet als zodanig meten. Maar sommigen van jullie vroegen me om er naar te kijken in mijn beoordelingen. Geen slecht idee. Voor testdoeleinden boots ik een typisch huiskamerscenario na. Ik maak een foto van het scherm laat op een avond na het werk zonder de gordijnen, jaloezieën of rolluiken te sluiten. Er staat een oven achter me en een standaardlamp naast de tv. Het licht van de standaardlamp wordt gereflecteerd in de glazen deur van de oven achter me en teruggeworpen op de tv.
Hier is het resultaat:


Zowel de Samsung S95C als de LG G3 hebben grote vooruitgang geboekt op het gebied van reflectie. Vergeleken met hun respectievelijke voorgangers - de S95B en de G2 - is de lamp bij beide veel minder zichtbaar. Wat betreft het één-op-één duel zou ik echter zeggen dat LG iets verder is. Met hun aanzienlijk verbeterde algehele helderheid zijn deze twee tv's de eerste OLED modellen die ik heb getest die ook in lichte kamers hebben geschitterd.
Ik ben enthousiast over de nieuwe QD-OLED generatie. Niet alleen is de algehele helderheid verbeterd, maar hij produceert ook een ongelooflijk referentiewaardig beeld. En dat direct uit de doos, zonder kalibratie. Zolang je hem in de Filmmaker modus hebt staan, tenminste. De andere modi zijn aanzienlijk minder goed gekalibreerd. Vanuit theoretisch oogpunt is Samsung er dus in geslaagd om met een TV te komen die de lat verdomd hoog legt. Laten we eens kijken hoe hij het in de praktijk doet.
Het beeld is helder en de kleurechtheid is uitstekend - zelfs direct uit de doos, zonder kalibratie. Tenminste in theorie. Maar hoe gaat het in de praktijk?
Wanneer ik een tv test op kleurweergave, ga ik voor Guardians of the Galaxy, Vol. 2. In het bijzonder de scène waarin Ego's gouden paleis baadt in de felrode gloed van de zonsondergang. En daartussen de groenige huid van Drax bedekt met bloedrode tatoeages. Het is moeilijk om significante verschillen met de LG G3 te zien. Geen wonder, want beide tv's worden gekenmerkt door een uitstekende kleurechtheid. Net als de QD-OLED concurrentie van Sony.
Daarom nam ik een scène uit Avatar: The Way of Water (vanaf 00:45, met een overheersing van blauw en groen, om een vergelijking te maken. In dit geval ziet de kleurweergave van Samsung er warmer uit dan die van LG. Het ziet er echter minder dynamisch uit, dat wil zeggen minder intens dan bij de concurrentie.
Laten we even teruggaan. De kleuren op het scherm hoeven niet altijd te knallen. Neem bijvoorbeeld James Bond - Skyfall. James en de jonge kwartiermeester Q zijn in een kunstmuseum en kijken naar een schilderij van een trots oud slagschip dat zonder pardon naar de schroothoop wordt gesleept. De scène is duidelijk een toespeling op de ouder wordende geheim agent. Ook hier zijn de verschillen nauwelijks merkbaar. Tenzij je let op de huid van de acteurs. In het geval van Samsung ziet die er voor mij onnatuurlijk oranje uit. Ik geef in dit opzicht de voorkeur aan de LG G3. James Bond is tenslotte geen Marvel stripspektakel, het is een grimmige spionagethriller die zich afspeelt in de echte wereld.
Hoe presteert de nieuwste QD-OLED van Samsung in donkere scènes? Voor deze test is de openingsscène uit Blade Runner 2049 gebruikt. Zowel de Samsung als de LG zijn heerlijk donker. Als je tegen het licht in filmt, verandert al het andere in zwarte silhouetten. Dit is dus geen geval van black crush, wat verwijst naar details die worden opgeslokt in donkere gebieden. De LG heeft een groenige tint, die wordt versterkt door de hoge dynamiek in de kleurweergave. Het beeld van Samsung ziet er daarentegen warmer en natuurlijker uit.
Het gebruik van de Mini LED TV van TCL ter vergelijking (vanaf 0:50 laat echt zien wat ik bedoel als ik zeg dat het OLED-beeld van Samsung "heerlijk donker" is. Dat van TCL is veel te helder en brengt details naar voren waar die er niet zouden moeten zijn. Dit komt door het heldere LCD-beeld dat wordt veroorzaakt door de onderliggende technologie. Als je overdag in een lichte kamer bent, is dat een zegen vergeleken met de meeste OLED TV's. Het is echter een vloek als je in een donkere kamer naar donkere scènes kijkt. Bovendien is er een sterk blooming effect - dat soort halo dat je krijgt rond heldere objecten tegen een donkere achtergrond. Kijk bijvoorbeeld eens goed naar de ramen.
Voor mijn laatste beeldtest kijk ik naar helderheidsgradaties. Het is interessant dat de Samsung er in deze scène weer iets afgemetener en minder dynamisch uitziet, maar des te natuurlijker. De roodblauwe tint van de Samsung is aanwezig in alle bovenstaande video's, terwijl die van de LG lichtgroen is. Wat betreft de zon op de achtergrond heeft geen van de tv's in de video een duidelijk voordeel ten opzichte van de andere. Hij is goed zichtbaar als een bol aan de hemel.
De processor is het brein van de tv. Zijn belangrijkste taak is het ontvangen, verwerken en vervolgens weergeven van beeldsignalen. In deze context betekent verwerken het herkennen van slechte beeldkwaliteit en deze verbeteren. Samsung zegt het als volgt: "Briljante 4K AI Upscaling technologie aangevuld met 20 neurale netwerken zorgt ervoor dat je de kracht van 4K voelt. Perceptional colour mapping en OLED brightness booster zorgen voor ongeëvenaarde helderheid, kleur, contrast en detail."
Wel, duh.
Wat ze eigenlijk zeggen door al deze uitgebreide marketingpraat heen is dat de processor gebouwd is om ruis te verwijderen, kleuren te verbeteren, randen gladder te maken, bewegingen vloeiender te maken en ontbrekende pixelinformatie toe te voegen.
Voor deze test wil ik de processor laten zweten. Concreet, door te kijken naar judder - iets waar alle tv's last van hebben, vooral tijdens lange camerabewegingen. Sam Mendes' 1917 zit vol met deze gestage, langzaam vloeiende camerabewegingen, dus de kleinste ruis valt meteen op. Perfect voor de juddertest. In mijn vergelijking met modellen van andere fabrikanten let ik vooral op de verticale balken in de schuur, om te controleren of ze vloeiend door het beeld lopen of trillen.
Als de wonderbaarlijke tv van Samsung ergens in deze recensie een wankele prestatie levert, dan is het hier. In de letterlijke zin van het woord. Het is zelfs zo'n wankele prestatie dat ik er vrij zeker van ben dat het niet aan de tv ligt. De tweede vergelijking in de video laat immers zien dat zijn directe voorganger veel beter overweg kan met trillingen. Zou het een probleem kunnen zijn met de UHD Blu-ray? Het schoonmaken van de schijf brengt geen verbetering. Zoals altijd heb ik de video opgenomen met dezelfde camera, met dezelfde instellingen. Dat betekent dat Samsung de processor achterstevoren heeft ontwikkeld of dat het probleem ergens anders ligt.
Zeker, de balkenscène zal elke tv-processor tot het uiterste drijven. Daar is hij voor. Maar in dit geval is de trilling gewoon te opvallend voor mij om de schuld volledig bij de fabrikant te leggen. Er lijkt iets mis te zijn gegaan tijdens mijn review. Als iemand een idee heeft wat dat zou kunnen zijn, laat het me dan weten in de commentaarsectie.
In de tussentijd besluit ik een andere scène uit 1917 te proberen. De voorganger zou immers wel eens zo slecht kunnen blijken te zijn. Het is een goede keuze voor een scène - ook hier biedt het camerawerk van Mendes een immense uitdaging voor de meeste verwerkers. Harde randen voor een wazige achtergrond - zoals de helmen van de twee soldaten hieronder - zijn bijzonder lastig. Daar moeten zowel de processor als de pixels ongelooflijk snel reageren.
Ah, nu komen we ergens. Je ziet nauwelijks trillingen, zelfs niet in vergelijking met de processor van LG of Sony. Sony is de enige die hier iets slechter overkomt. Dit was echter een bewuste keuze - in de ogen van Sony moeten films een beetje schokkerig zijn. Zoals ze waren in de bioscoop voor het digitale tijdperk. Lekker ouderwets.
Volgende, het Apple-origineel For All Mankind. Ik wil zien hoe lang het duurt voordat een enkele pixel van kleur verandert. Je kunt zien of de pixels niet snel genoeg van kleur veranderen als het beeld er uitgesmeerd uitziet - een effect dat bekend staat als "ghosting". Wanneer de camera over het oppervlak van de maan beweegt, let dan op de tekst die er overheen staat.
Geen van de tv's laat significante zwakke punten zien. LG laat hooguit een klein beetje ghosting zien aan het begin. Maar het is nauwelijks merkbaar. Al met al een solide prestatie van Samsung en LG. Dat is geen verrassing. De onderliggende technologie van OLED TV's zorgt voor uitstekende reactietijden. Daarom worden ze ook beschouwd als geweldige gaming monitoren. LCD TV's zijn in dit opzicht in het nadeel. Dat zie je aan het einde van de video als je ze vergelijkt met de Mini LED van TCL. Eerlijkheidshalve wil ik wel benadrukken dat deze vergelijking is gemaakt met het C82 model, dat meer dan twee jaar ouder is dan de S95C van Samsung. Het voorbeeld is alleen bedoeld als illustratie. De vorig jaar uitgebrachte opvolger van TCL, de C92, is in dit opzicht een duidelijke stap vooruit.
Nu een van de moeilijkste tests: upscaling. Ik wil zien hoe goed de processor materiaal van lagere kwaliteit opwaardeert, zoals Blu-ray of live televisie. Of, nog beter, The Walking Dead. De serie is bewust opgenomen op 16 mm film om de ouderwetse korrel te behouden die het gevoel van een gebroken, post-apocalyptische wereld creëert.
Samsung's beeld ziet er fantastisch uit. Bijna geen beeldruis. Scherpe randen. En natuurlijke kleuren. Zo ziet goede upscaling eruit. Dat daarboven is een HD-beeld van SDR-kwaliteit met ongeveer 2 miljoen pixels - opgeblazen tot 8,3 miljoen pixels. Als ik het bijvoorbeeld vergelijk met de Sony processor van vorig jaar, zie je rechts van Sony's beeld duidelijke compressie artefacten op 00:18. Het beeld van Samsung is ook aanzienlijk minder ruisachtig. Waarschijnlijk omdat Sony veel meer aan beeldverscherping heeft gedaan. Hierdoor zien stoppels en gezichtsrimpels er gedetailleerder uit. Het zorgt er echter ook voor dat artefacten en ruis in het beeld duidelijker naar voren komen.
Ook dit jaar hoopt Samsung zijn QD-OLED TV te positioneren als een van de beste gaming TV's op de markt. De twee Zuid-Koreaanse fabrikanten Samsung en LG zijn verwikkeld in een eeuwige strijd om de affectie van gamers. Een van de uitingen hiervan is de nieuwe Samsung OLED-monitor, die mijn collega Samuel Buchmann zojuist gereviewed. Het is ook duidelijk als je kijkt naar de LG OLED Flex, die begin dit jaar werd uitgebracht. Het is een TV die kromt met één druk op de knop - en die arme Samuel tot waanzin dreef. De boosdoener? ABL.
Het probleem met ABL is dat het het gamen kan verstoren. Toen ik bijvoorbeeld FIFA 23 speelde tijdens het testen van de LG G3, dacht de software soms dat het een statisch beeld registreerde. Dit komt omdat de gemiddelde helderheid nauwelijks veranderde in de loop van een wedstrijd. Om het paneel te beschermen werd de helderheid dan verlaagd - tot het punt dat ik de bal nauwelijks kon volgen. Een teken van een serieus agressieve ABL. Waarschijnlijk omdat LG's nieuwe META technologie het beeld zoveel helderder maakt dat ABL ag> agressiever moet ingrijpen om oververhitting en inbranden te voorkomen.
Bij de Samsung S95C gebeurde dit niet. Misschien omdat het QD-OLED van Samsung niet zo helder is als dat van de LG G3. Of misschien had ik gewoon meer vertrouwen in de QD-OLED panelen van Samsung dan in de WOLED panelen van LG.
En, wat nog meer? Bij het meten van de kleurnauwkeurigheid in de Game modus krijg ik een minder dan baanbrekende gemiddelde delta E van 9,86 (lees het gedeelte over kleurfouten verderop als je geïnteresseerd bent in meer details). Sterker nog, ik vond het beeld vaak een beetje opzichtig. Met een delta E van 4,44 was de kleurweergave van de LG G3 veel natuurlijker.
Nou om de input lag te testen. Met behulp van een meetapparaat van Leo Bodnar, registreerde ik een gemiddelde invoervertraging van 9,7 milliseconden voor een UHD-beeld met 60 frames per seconde. Dat is erg goed. Daarnaast ondersteunt de tv alle functies die relevant zijn voor gamers:
Samsung is net als LG, Sony, Philips, TLC en Panasonic een samenwerking aangegaan met veel grote gamestudio's - de HGiG, oftewel HDR Gaming Interest Group. Volgens de fabrikant zorgt dit ervoor dat HDR wordt weergegeven zoals de gameontwikkelaars het bedoeld hebben. Laten we Spider-Man: Miles Morales op de PS5 als voorbeeld nemen.
In deze vergelijking maakt de LG G3 snel duidelijk welke van de twee tv's meer accurate kleuren tevoorschijn tovert. Toch merk ik dat zwart ook echt zwart is, de randen zien er scherp uit en het beeld blijft helder, zelfs tijdens snelle en schokkerige camerabewegingen. Let op het donkere silhouet van Miles tegen het licht, de gedetailleerde texturen van het besneeuwde New York en de details in de wolken. Ik vind de spelmodus van Samsung goed, ook al zijn er spelmodi met een betere kleurgetrouwheid.
Leuk! Net als vorig jaar heeft Samsung een speciaal submenu gemaakt waar je de instellingen voor gaming kunt aanpassen en de huidige framerate kunt bekijken. Cruciaal is dat de Samsung S95C de VRR-120Hz modus van de PS5 probleemloos ondersteunt.
Samsung gebruikt het besturingssysteem Tizen. Sinds het in 2021 werd herzien, doet het een beetje denken aan een Google TV. Met andere woorden, als je op de Home-knop drukt, opent er een heel venster vol tegels. Van daaruit heb je toegang tot je TV-apps en een verscheidenheid aan HDMI-ingangen.
Er valt eigenlijk niet veel anders te zeggen. Net als bij Google TV, zijn er nog steeds vervelende film- en tv-aanbevelingen die ik nooit nodig heb - LG heeft deze dit jaar gelukkig in de kiem gesmoord. Desondanks voelt de menunavigatie vloeiend en responsief aan dankzij de goede processor van de tv.
En er is nog een extra traktatie. In de Ambient modus, die je kort kunt zien in deze video op 00:37, schakelt de TV over naar een kunstmodus. Daar kan ik kiezen om het scherm te veranderen in een klok, een schilderij of een bewegend beeld. Dit is bedoeld om het rechthoekige zwarte gat te verlevendigen dat een tv anders is als hij uit staat, bij laag vermogen en lage helderheid.
Mijn collega Flori Saratz, Category Business Manager voor TV en Audio, stelde me onlangs een vraag: "Welke TV zou je liever kopen? De Samsung S95C of de LG G3?" Eerlijk gezegd was het vorig jaar gemakkelijker om een duidelijke beslissing te nemen. Toen zou ik zeker "Samsung" hebben gezegd. Dit jaar daarentegen strijden Samsung en LG op een ongekend hoog niveau met hun vlaggenschip TV's. Ze hebben zich nu op een terrein begeven waar persoonlijke voorkeuren een belangrijkere rol spelen dan getallen en metingen.
Volgens de cijfers heeft de Samsung S95C met zijn QD-OLED technologie opnieuw het meest referentiewaardige beeld geleverd van alle tv's die ik heb getest. En de metingen doorstaan ook nog eens de ogentest. Toch vind ik het beeld van de LG G3 net iets mooier. Waarom? Waarschijnlijk vanwege de iets betere helderheid, die het beeld iets meer "kick" geeft dan de S95C van Samsung. Vooral overdag. Niet alleen dat, maar Samsung heeft geen Dolby Vision of DTS audio ondersteuning. Met het eerste kan ik leven, maar over het laatste ben ik minder enthousiast. Bovendien voelt het Tizen besturingssysteem wat trager aan dan webOS. Qua prijs staan de Zuid-Koreaanse bedrijven op gelijke voet. Beide tv's zijn waanzinnig duur - meer dan 3.500 Zwitserse frank op het moment van schrijven (22 augustus 2023).
Al dit in overweging nemende, zou ik waarschijnlijk voor de LG G3 gaan. Maar het is een close race. Heel dichtbij. Maar wie weet? Als de QD-OLED en META technologieën in de komende twee tot drie jaar betaalbaar worden, koop ik echt een nieuwe tv - voor het eerst in zeven jaar.
Headerafbeelding: Luca Fontana
Ik schrijf over technologie alsof het cinema is – en over films alsof ze echt zijn. Tussen bits en blockbusters zoek ik naar de verhalen die gevoelens oproepen, niet alleen klikken. En ja – soms luister ik naar filmmuziek harder dan goed voor me is.